Darpan Publication
Darpan Publication MPPSC Mains Paper 4 Part B (Unit 1 to 5) | Entrepreneurship, Management, Personality Development & Case Studies | Based on MPPSC 2024 New Syllabus | Includes 50 Special Case Studies | English Medium
- Genuine Quality
- COD Available
- Satisfaction Guaranteed
- Free Shipping
Delivery Options
Get delivery at your doorstep
✨ About the Book (English + Hindi):
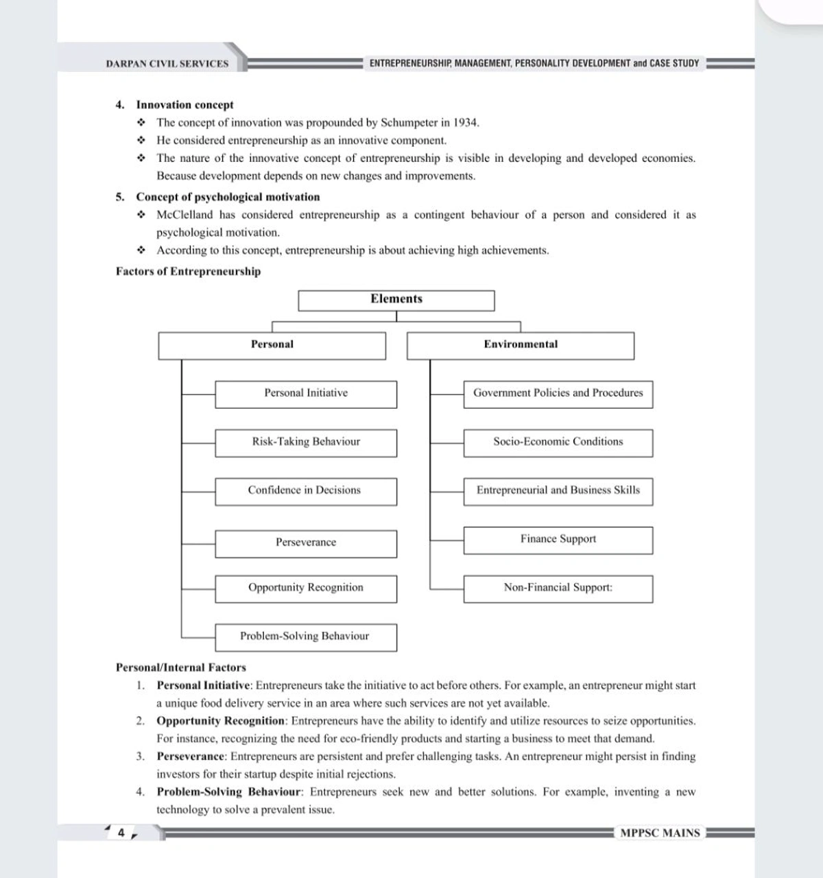
This book “MPPSC Mains Paper 4 Part-A: Ethics” by Rakesh Nagar, Sumit Dongre, Dheerendra Chaturvedi & Shubham Rai is designed strictly as per the latest MPPSC 2024 Mains syllabus. It covers Ethics, Philosophy, Nation Building, Psychology, Public Administration, and Case Studies in a comprehensive yet exam-oriented manner.
पुस्तक में नैतिकता (Ethics), दर्शनशास्त्र, मनोविज्ञान, लोक प्रशासन और केस स्टडीज़ को सरल और व्यावहारिक दृष्टिकोण के साथ समझाया गया है। इसमें 50 विशेष केस स्टडीज़ शामिल हैं, जो उत्तर लेखन और व्यवहारिक विश्लेषण को मजबूत बनाती हैं।
---
🔑 Key Features (मुख्य विशेषताएँ):
Based on MPPSC Mains 2024 New Syllabus
Covers Ethics, Philosophy, Psychology, Public Administration & Case Studies
Includes 50 Special Case Studies for Mains practice
Holistic approach for conceptual clarity & practical application
Brief, to the point & exam-oriented content
Updated with previous year questions (PYQs) and model answers
Written by renowned subject experts
English Medium Available
---
🎯 Why This Book? (क्यों चुनें यह पुस्तक?)
✔ Builds strong foundation in Ethics & Case Studies
✔ Enhances Answer Writing Skills with examples
✔ Helps in analytical & practical approach to questions
✔ Trusted by thousands of MPPSC aspirants
---
MPPSC Ethics Book, MPPSC Mains Paper 4 Ethics, MPPSC 2024 Ethics Notes, Ethics Case Studies MPPSC, MPPSC Philosophy Psychology Book, MPPSC Public Administration Ethics, MPPSC English Medium Books, Darpan Publication MPPSC Ethics, Rakesh Nagar Ethics Book MPPSC
--
#MPPSC2024 #Ethics #MPPSCMains #MPPSCBooks #MainsPreparation #CaseStudies #DarpanPublication #MPPSCStudyMaterial
Reviews and Ratings
No Customer Reviews
Share your thoughts with other customers









